I Think a RICO Enterprise of Good ol' Boys Retaliated Against a Disabled Federal Litigant on a Facebook Livestream Event
HOLD MY BEER -- AND MY PROBABLE CAUSE
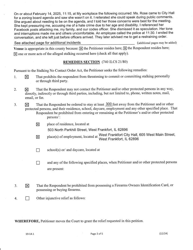
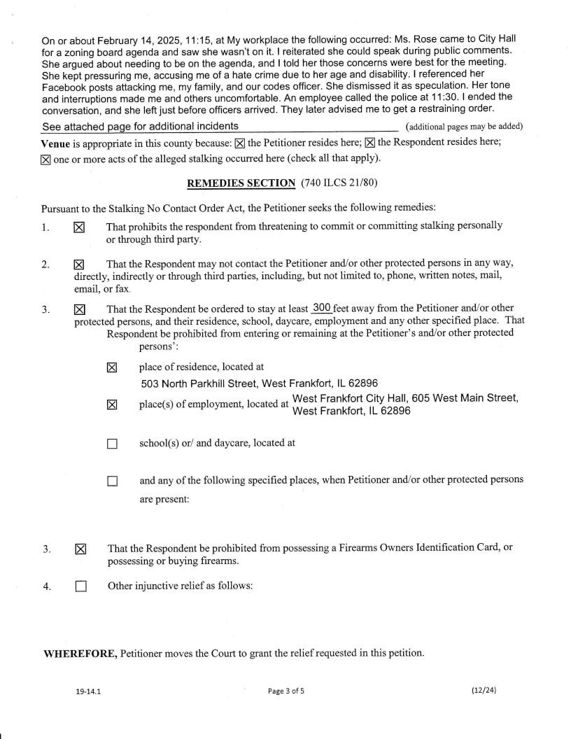
On October 28, 2025, West Frankfort’s City Attorney, Jonathan Cantrell, used a public council meeting—and the City’s official Facebook livestream—to wage what can only be described as a digital show trial against a private resident.
That resident is me: a disabled adult, a federal and state civil-rights litigant, and in one case, his own opposing party. Jonathan Cantrell is with the firm Hart Cantrell & Thompson in Benton, Illinois and this is how he publicly retaliates against a federal litigant, a known disabled widow - in anger, and as the defendant in a state suit in which she sued him as a private individual.
10/28/2025 IMAGE FROM CITY COUNCIL MEETING WHERE I WAS TARGETED WITH RETALIATION, DOXXING, AND MORE.
Before a crowd and a global livestream audience, Cantrell read from court dockets, discussed pending cases, and displayed personal details of a woman he knew was medically fragile and already facing harassment tied to those same officials. For an officer of the court, sworn to protect the integrity of judicial proceedings, the act was more than reckless—it was a public act of intimidation.
It blurred every ethical line between lawyer, public servant, and political enforcer.
Cantrell declared during that broadcast that he would “make filings public.” In the spirit of that same transparency—though not in his spirit of cruelty—I am publishing what he referenced: my Notice of Retaliation and Supplemental Evidence, filed across the state cases, for judicial efficiency, the cases in state court involving those present. The case numbers are listed at the top of the filing which is provided below.
The filing is twenty pages long, complete with sworn affidavits and video exhibits. It documents the continuity and collaboration among a small circle of city officials and private citizens whose coordinated actions have targeted me for over a year.
It begins with the first public-private agreement to cause harm—captured on video at the August 27, 2024 council meeting—where the same names first joined forces to discuss taking my property and silencing my complaints.
It ends, fittingly, at the October 28, 2025 meeting—same players, same tactics, only louder.
Between those dates lies a pattern: coordinated obstruction of zoning rights, misuse of city resources for personal lawsuits, false police reports, and the weaponization of public meetings as stages for humiliation. The videos show that this was never isolated misconduct; it was a system of retaliation carried out in full view of the public.
Transparency cuts both ways.
Cantrell demanded my filings be public; so they are. The community now has the same opportunity he claimed to offer: to see the record for itself.
Here, in the light he asked for, are the documents and videos—evidence of what happens when a city attorney forgets that his duty is to law, not loyalty. Video is also uploaded here - and placed after the page it refers to for continuity in reading.
Note, that the filing is only four pages and is a simple notice, not asking for anything. The remainder of the filing is two signed affidavits sworn to in writing. This is now part of the cases listed and as these cases have some relation, the judge gave permission to file with all cases listed at top for her convenience - to get one copy and not several. To clear any confusion, all cases are separate cases and filed as PRIVATE INDIVIDUALS - which means no public money should be covering any defense or legal fees.
This video - *your interest starts at 49 minute mark - Robert Stanley asks council for my property and code officer ends saying the “City owes it to him” and this is a full, public - private agreement to cause harm to a disabled adult so another can profit - a RICO on video. THIS VIDEO IS THE INITIAL AGREEMENT AND THE GROUP, AS A WHOLE, BEGAN TARGETING ME WITH WHAT I BELIEVE IS A HATE CRIME. VIDEO IS 8/27/2024 - Exactly 7 days after Thad Snell threatened to demolish my home without cause for reporting Robert’s setback problem.
This is the 10/28/2025 city council meeting where the retaliation and intimidation against a state and federal litigant was broadcast of a Facebook livestream event and the city council, the city attorney Jonathan Cantrell, mayor Tim Arview, and the landlord and tenants involved in the first video above - after more than a year of targeting me, a disabled widow as a group. Continuity, collaboration and RICO is shown. I believe this constitutes a hate crime and RICO, and many other state and civil rights violations.
THIS IS THE END OF THE NOTICE - ALL OTHER IS CERTIFICATIONS AND TWO SEPARATE AFFIDAVITS SIGNED AS TRUE.
After wiping my leg, and finding it hard to stand up - my back was injured from a home invasion just days prior to this incident. I looked and saw she had gone to the alley. I took my phone and hobbled over to her and to determine what she has sprayed through the fence at me - I asked her what she sprayed at my fence. video 8/27/2024
I believe it is about 8 min 50 sec in - I am the woman in the gray coat coming into city hall. The date and time is stamped. While Arview is standing over me - he is threatening to demolish my home and trying to frighten me into some type of reaction. The time stamps of him doing this - correlate with time stamps from the call to the police. Andrea Bolen had her day off - was far away from city hall, but she called the cell phone of Clint Willis, our current Chief of Police to tell him I was terrorizing Arview. You can see clearly, although no sound is recorded, physically Arview is the one terrorizing me - and outside of a hand up motion to stop, I do not react. I leave. But you also see Arview run to the door looking, like he is expecting the police and disapointed they have not arrived. If Arview was standing over me, and he didn’t call the police - how did he know they were coming? This is security footage from 2/14/2025 in city hall - the city’s own unedited footage.
Here is the body cam footage of officer Jason Yunker - 2/14/25 responding to the false report of terrorizing at city hall. Note — it is Arview that tells them and brings up that he is wanting to gain some sort of order of protection against me.
Here is the body cam footage of Joshua Mixon. Also on 2/14/2025 - rushing to city hall for a false police report.
Other Interesting Images.
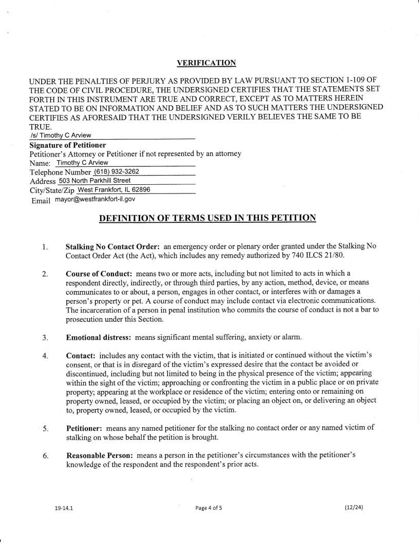
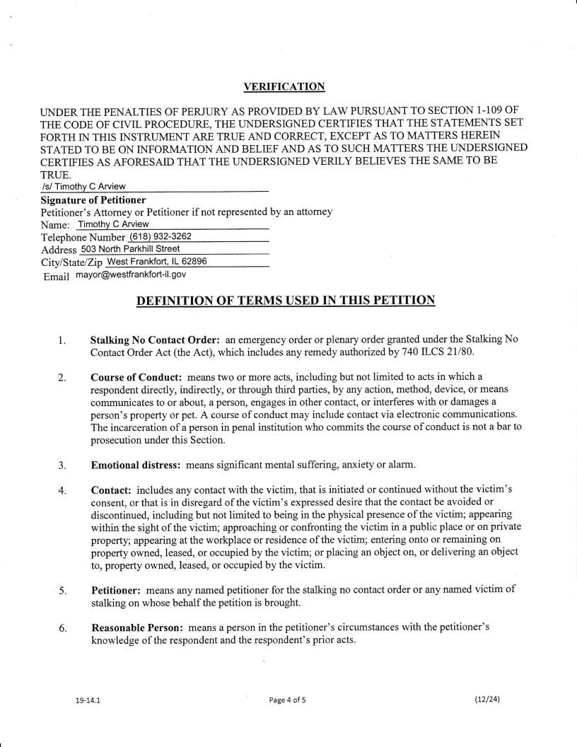
Here is a copy of the order of protection, technically a STALKING NO CONTACT ORDER - that was filed by TIMOTHY C. ARVIEW - on February 20 and it has his signed testimony right there for all to see. You can see what he stated as truth - and insinuated as truth and signed it under penalty of perjury.
TIM ARVIEW FILES STALKING NO CONTACT ORDER
ANDREA BOLEN WAS OFF WORK AND CALLED FALSE POLICE REPORT IN VIA PRIVATE CELL NUMBER OF OFFICER
If you take time to read through some of the other articles on this blog, you will find I have posted many of the FOIA results listed or spoken of in the timeline. Preponderance of the evidence - here I am a disabled widow and in a civil case - the greater weight of the evidence is so far on my side - that I have shown beyond a reasonable doubt - the higher standard - and yet - here I am still fighting for all I have to be safe, to not be threatened by government officials, to not have my home destroyed and to have a trespassing and delapidated lot near me, put up to code and safety.
It shouldn’t be like this.
“The arch of the moral universe is long, but it bends toward justice.” ~MLK Jr.
“Justice is never given, it is exacted.” ~Helen Keller
I can use your help - I’ve been unemployed since the battle has begun here. You can subscribe, you can donate a lump sum. You can sign up to do this monthly or a one time thing - and even set what you feel comfortable with. I have been very grateful for friends and sometimes strangers who have come to me with printers, paper, ink, cash, and even someone paid my electric bill. I hope to continue to fight my way out of this situation. I hope eventually, this blog, or news outlet for Southern Illinois - will grow to cover other issues and allow me to take something very negative and turn it into something positive.
thank you.




























